SOLUTION: The point P moves along an arc of a circle with centre E(2,3). The arc of the circle passes through A(-2,0) and B(5,k). (a) Find (i) the equation of the locus of the point P, (i

Algebra ->  Formulas -> SOLUTION: The point P moves along an arc of a circle with centre E(2,3). The arc of the circle passes through A(-2,0) and B(5,k). (a) Find (i) the equation of the locus of the point P, (i      Log On


   



Question 934466: The point P moves along an arc of a circle with centre E(2,3). The arc of the circle passes through A(-2,0) and B(5,k).
(a) Find
(i) the equation of the locus of the point P,
(ii) the values of k.
(b) The tangent of the circle at the point A intersects the y-axis at the point Q. Find the area of triangle OAQ where O is the origin.

Answer by josgarithmetic(39618) About Me  (Show Source):
You can put this solution on YOUR website!
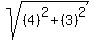
The length EA can be found with Distance Formula. This will be the length of the radius. k can then be found because EA=EB.

EA=sqrt%28%282-%28-2%29%29%5E2%2B%283-0%29%5E2%29
sqrt%28%284%29%5E2%2B%283%29%5E2%29
sqrt%28%2816%29%5E2%2B%289%29%5E2%29
sqrt%2825%29
highlight_green%285=r%29

Knowing E(2,3) is the center, according to standard form equation of a circle,
The equation for this circle is highlight%28%28x-2%29%5E2%2B%28y-3%29%5E2=25%29.

Part (b) is more work to solve.
Find slope of EA.
Form the negative reciprocal of that slope.
The line tangent at point A and perpendicular to the segment EA can be found (its equation).
Using this new equation, determine its y-intercept.
I have not worked through this part completely. Your triangle might or might not be a Right triangle.