Question 894573: (-7,5) (1,-1) distance formula
Answer by josgarithmetic(39618) (Show Source):
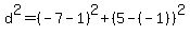
You can put this solution on YOUR website! If you would plot the two points on a cartesian coordinate system, you could identify (-7,-1) as a third point forming a right triangle, and (-7,-1) is at the right-angle. The distance from (-7,5) to (1,-1) forma the hypotenuse of this right triangle. You then can simply use the Pythagorean Theorem. You know the vertical segment is 6 units and the horizontal segment is 8 units. these are easily read from the three points on the graph.
If the hypotenuse is d, then

, which conforms to the use of the distance formula.
Just evaluate d.
|
|
|