SOLUTION: A circle has an area of 25 pie cm squared. If a circle was drawn within that circle the diameter equal to the radius of the first circle, what is the area of the second Circle?

Algebra ->  Formulas -> SOLUTION: A circle has an area of 25 pie cm squared. If a circle was drawn within that circle the diameter equal to the radius of the first circle, what is the area of the second Circle?      Log On


   



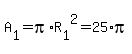
Question 891428: A circle has an area of 25 pie cm squared. If a circle was drawn within that circle the diameter equal to the radius of the first circle, what is the area of the second Circle?
Answer by Fombitz(32388) About Me  (Show Source):