Question 872900: A solid cone, C, is cut into two parts, X (upper) and Y (lower) by a plane parallel to the base. The lengths od the sloping edges of X is 3 cm, and Y is 2 cm. Find the ratio of:
a) The diameter of the base of X and C
b) the area of the bases of X and C
c) the volume of X and Y
I tried to use the formula for calculating thr volume of a cone: but I don't know how to apply it in this question. I also know that I have to use the formula: and
Answer by KMST(5328) (Show Source):
You can put this solution on YOUR website! If two figures (on a plane), or two solid 3D shapes are similar (same shape, but maybe scaled up or down), the ratio of a certain length measures and the ratios of surface areas and volumes are related.
Those relations are simple to understand; it's not rocket science.
Since scaling up (or down) is multiplying every length measurement by the same factor, that factor will be the ratio of the measures of any specific length.
So for any specific length measured (height, diameter, sloping edge, etc), the ratio is the scaling factor and is always the same.
Each surface area are the product of two lengths, so the ratios of specific surface areas will be the scaling factor, squared.
The volumes are the product of 3 lengths, and so their ratio is the scaling factor, cubed.
Those logically derived, simple relations can be expressed as mathematical formulas (equations) that can sound impressive:
As for areas and volumes:
and .
For other length, if we know length for the two similar figured or solids,
the ratio of the measures of another length, on the same figures or solids would also be the same scaling factor used for length so

That is what you were trying to state, isn't it?
You are on the right track, so I will give you the needed little nudge forward.
The original cone (C) had a sloping edge measuring
.
That original cone (C) is similar to the upper piece (X), which has a sloping edge measuring
.
Since cone X (the upper piece) is similar to cone C (the original cone), you can use the ratios and relations above.
a) 
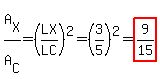
b) 
c) 
Then,
<--->
and since we know that
<---> , so





So,
--->
|
|
|