SOLUTION: 5t-7/k=11-6t/k rearrange equation to make k the subject

Algebra ->  Formulas -> SOLUTION: 5t-7/k=11-6t/k rearrange equation to make k the subject      Log On


   



Question 868242: 5t-7/k=11-6t/k rearrange equation to make k the subject
Answer by Fombitz(32388) About Me  (Show Source):
You can put this solution on YOUR website!
5t-7%2Fk=11-6t%2Fk+
Add 6t%2Fk to both sides, subtract 5t from both sides
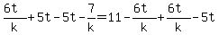
%286t%29%2Fk%2B5t-5t-7%2Fk=11-%286t%29%2Fk%2B%286t%29%2Fk-5t+
%286t%29%2Fk%2B0-7%2Fk=11-0-5t+
%286t%29%2Fk-7%2Fk=11-5t
Pull out %281%2Fk%29 from both terms on the left hand side.
%281%2Fk%29%286t-7%29=%2811-5t%29
Multiply both side by k
k%2Fk%286t-7%29=k%2811-5t%29
%281%29%286t-7%29=k%2811-5t%29
Divide both sides by %2811-5t%29
%286t-7%29%2F%2811-5t%29=k%28%2811-5t%29%2F%2811-5t%29%29
%286t-7%29%2F%2811-5t%29=k%281%29
Re-arrange the terms in the denominator so t term is first.
k=%286t-7%29%2F%28-5t%2B11%29