SOLUTION: find the coordinates of the centroid p of /\abc A(-1,2), B(5,6), C(5,-2)
Algebra
->
Formulas
-> SOLUTION: find the coordinates of the centroid p of /\abc A(-1,2), B(5,6), C(5,-2)
Log On
Geometric and Other Formulas
Geometric
Answers archive
Answers
Click here to see ALL problems on Geometric formulas
Question 846281
:
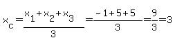
find the coordinates of the centroid p of /\abc
A(-1,2), B(5,6), C(5,-2)
Answer by
Fombitz(32388)
(
Show Source
):
You can
put this solution on YOUR website!
.
.
.