SOLUTION: find the length and midpoint of AB. simplify any square roots. A(-7,3) B(4,1)

Algebra ->  Formulas -> SOLUTION: find the length and midpoint of AB. simplify any square roots. A(-7,3) B(4,1)       Log On


   



Question 453182: find the length and midpoint of AB. simplify any square roots.
A(-7,3) B(4,1)


Answer by cleomenius(959) About Me  (Show Source):
You can put this solution on YOUR website!
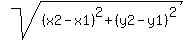
length = sqrt%28%28x2+-x1%29%5E2+%2B+%28y2+-+y1%29%5E2%29
length = sqrt%28%284+%2B+7%29%5E2+%2B+%281+-+3+%29%5E2%29
length = sqrt%28125%29
length = 5sqrt%285%29

midpoint = ((-7 + 3) /2) , ( 3 + 1 ) / 2)) = (-2, 2 )

Cleomenius.