SOLUTION: I need help with this problem please. A has coordinates (x1,x2) B (x2,y2) M (x1+x2/2 , y1+y2/2) use the distance formula to show that AM= 1/2 AB I tried to solve it but I g

Algebra ->  Formulas -> SOLUTION: I need help with this problem please. A has coordinates (x1,x2) B (x2,y2) M (x1+x2/2 , y1+y2/2) use the distance formula to show that AM= 1/2 AB I tried to solve it but I g      Log On


   



Question 388356: I need help with this problem please.
A has coordinates (x1,x2) B (x2,y2) M (x1+x2/2 , y1+y2/2)
use the distance formula to show that AM= 1/2 AB
I tried to solve it but I got sqrt5 for both AM and AB
Please show me how to do it step by step.
Thank you!

Answer by mananth(16946) About Me  (Show Source):
You can put this solution on YOUR website!
A has coordinates (x1,y1) B (x2,y2) M (x1+x2/2 , y1+y2/2)
use the distance formula to show that AM= 1/2 AB
A (x1,x2) B (x2,y2)
M (x1+x2/2 , y1+y2/2)
...
AM = sqrt (x1-(x1+x2)/2)^2+(y1-(y1+y2)/2)^2)
AM = sqrt((x1-x2)^2+(y1-y2)^2
...
AB= sqrt%28%28%28x1-x2%29%5E2%2B%28y1-y2%29%5E2%29%29%29
...
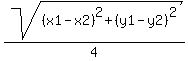
AM = sqrt%28%28x1-x2%29%5E2%2B%28y1-y2%29%5E2%29%2F4
..
AM = 1/2*sqrt%28%28x1-x2%29%5E2%2B%28y1-y2%29%5E2%29
...
substitute sqrt((x1-x2)^2+(y1-y2)^2) with AB
AM=1/2*AB
...
m.ananth@hotmail.ca