SOLUTION: what is the surface area of a sphere with a diameter of 12 centimeters?
Algebra
->
Formulas
-> SOLUTION: what is the surface area of a sphere with a diameter of 12 centimeters?
Log On
Geometric and Other Formulas
Geometric
Answers archive
Answers
Click here to see ALL problems on Geometric formulas
Question 329291
:
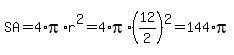
what is the surface area of a sphere with a diameter of 12 centimeters?
Answer by
Fombitz(32388)
(
Show Source
):
You can
put this solution on YOUR website!
Surface area of a sphere is,
sq.cm.