Question 174515: In the plan for a table, the triangular top has coordinates (0,10), (4,0), and (8,14). The tabletop will rest on a single support placed beneath it. Where should the support e attached so that the table is balanced?
Answer by jojo14344(1513) (Show Source):
You can put this solution on YOUR website! (0,10), (4,0), and (8,14).
Okay, we need to find the centroid of the triangular top where you can put the support to a point where it will be stable or balance.
We find the "x" & "y" coordinates of the cemtroid via---> , working eqn
.
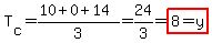
x-coordinates:

y-coordinates:

So, you put the post on point (4,8), as you see below:

With the Centroid where to put the support:
Thank you,
Jojo
|
|
|