SOLUTION: The tangent line to a circle may be defined as the line that intersects the circle in a single point, called the point of tangency. If the equation of the circle is x^2 + y^2 = r^2

Algebra ->  Formulas -> SOLUTION: The tangent line to a circle may be defined as the line that intersects the circle in a single point, called the point of tangency. If the equation of the circle is x^2 + y^2 = r^2      Log On


   



Question 1207940: The tangent line to a circle may be defined as the line that intersects the circle in a single point, called the point of tangency. If the equation of the circle is x^2 + y^2 = r^2 and the equation of the tangent line is y = mx + b, show that:

A. r^2(1 + m^2) = b^2

B. The point of tangency is [(-r^2 m)/b, (r^2/b)]

C. The tangent line is perpendicular to the line containing the center of the circle and point of tangency.


Found 2 solutions by Edwin McCravy, mananth:
Answer by Edwin McCravy(20085) About Me  (Show Source):
You can put this solution on YOUR website!
We find the x-intercept of y = mx + b, by setting y = 0.
y = mx + b
0 = mx + b
-b = mx
-b%2Fm=x
 


All 6 triangles ACO, AOB, OCB, ACO, ADC, DOC are similar, because a perpendicular
drawn from the right angle to the hypotenuse divides a right triangle into
two right triangles, each similar to it.

OC%5E%22%22%2FOA%5E%22%22=BC%5E%22%22%2FOB%5E%22%22 
r%5E%22%22%2F%28-b%2Fm%29=BC%5E%22%22%2Fb%5E%22%22

-mr%5E%22%22%2Fb%5E%22%22=BC%5E%22%22%2Fb%5E%22%22

BC=-mr

BC%5E2=m%5E2r%5E2

And by the Pythagorean theorem:

BC%5E2=OB%5E2-OC%5E2
BC%5E2=b%5E2-r%5E2

So equating expressions for BC2

m%5E2r%5E2=b%5E2-r%5E2

r%5E2%2Bm%5E2r%5E2=b%5E2

r%5E2%281%2Bm%5E2%29=b%5E2

----------------------

For the coordinates of the point of tangency, C.  
By similar triangles,

OD%2FOC=BC%2FOB
OD%2Fr=%28-mr%29%2Fb
OD=-mr%5E2%2Fb%5E%22%22  <--the x-coordinate of the point of tangency C

CD%2FOC=OC%2FOB
OD%2Fr=r%2Fb
OD=r%5E2%2Fb%5E%22%22  <--the y-coordinate of the point of tangency C

So the point of tangency C is %28matrix%281%2C3%2C-mr%5E2%2Fb%5E%22%22%2C%22%2C%22%2Cr%5E2%2Fb%5E%22%22%29%29

Edwin

Answer by mananth(16949) About Me  (Show Source):
You can put this solution on YOUR website!

Since tangent and circle meet at only one point there is only one solution . Let the point be (x,y)
The equation of the circle is given
x%5E2%2By%5E2=r%5E2
The equation of the tangent line is given
y=mx+b
substitute y= mx+b in the equation of circle
+x%5E2+%2B+%28mx%2Bb%29%5E2+=+r%5E2
+x%5E2+%2B+m%5E2x%5E2%2B2mbx+%2Bb%5E2+=+r%5E2
%28m%5E2%2B1%29x%5E2%2B+2mbx+%2B%28b%5E2-r%5E2%29=0
This is a quadratic equation and since tangent and circle meet at only one point there is only one solution
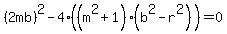
Discriminant b%5E2-4ac+=0
Substitute b ,a and c from the above equation .
%282mb%29%5E2++-++4%28%28m%5E2%2B1%29%28b%5E2-r%5E2%29%29=0
+4m%5E2b%5E2-4%28m%5E2b%5E2-m%5E2r%5E2%2Bb%5E2-r%5E2%29=0
+4m%5E2b%5E2-4m%5E2b%5E2%2B4m%5E2r%5E2-4b%5E2%2B4r%5E2%29=0
+4m%5E2r%5E2-4b%5E2%2B4r%5E2=0
+4m%5E2r%5E2%2B4r%5E2=4b%5E2
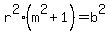
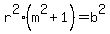
r%5E2%28m%5E2%2B1%29+=+b%5E2+-----------------------------------------A
B
%28m%5E2%2B1%29x%5E2%2B+2mbx+%2B%28b%5E2-r%5E2%29=0
Since the discriminant is zero, the equation has exactly one solution for x. The solution for x in a quadratic equation is given by
x = -b/2a
Here it is -2mb/2(m^2+1) = -mb/(m^2+1)
substitute this value of x into the equation y=mx+b
y = m(-mb/(m^2+1)) +b )
y = (-m^2b/(m^2+1)) +b )
y= (-m^2b +m^2b+b)/(m^2+1)
y = b/(m^2+1)-----------------------------------------------1
r%5E2%28m%5E2%2B1%29+=+b%5E2+%7D%7D++++from+A%0D%0A%7B%7B%7B%28m%5E2%2B1%29=+b%5E2%2Fr%5E2
Substitute(m^2+1) in 1
y = b/(b^2/r^2)
y=r^2/b
x+=+-mb%2F%28m%5E2%2B1%29+=+-mb%2F%28b%5E2%2Fr%5E2%29+=+-%28mr%5E2%2Fb%29
The point of tangency is (-r^2 m)/b, (r^2/b) ……………………….B
C
We have to prove tangent and radius are perpendicular.
From circle equation we know co ordinates of centre are (0,0)
The point of contact of radius and tangent are (-r^2 m)/b, (r^2/b)
Find slope using two point formula
Slope = ((r^2/b))/((-r^2m/b))
Slope =(- 1/m)
Slope of tangent line = m
M*(-1/m)= -1
Hence The tangent line is perpendicular to the line containing the center of the circle and point of tangency………….C