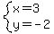
SOLUTION: The point (0, 1) is the midpoint of a line segment joining (x, 4) and (-3, y), find x and y.
Algebra
->
Formulas
-> SOLUTION: The point (0, 1) is the midpoint of a line segment joining (x, 4) and (-3, y), find x and y.
Log On
Geometric and Other Formulas
Geometric
Answers archive
Answers
Click here to see ALL problems on Geometric formulas
Question 1188288
:
The point (0, 1) is the midpoint of a line segment joining (x, 4) and (-3, y),
find x and y.
Answer by
josgarithmetic(39620)
(
Show Source
):
You can
put this solution on YOUR website!