SOLUTION: If 0<A<90 degrees, prove geometrically that sec(A-180°) = -secA

Algebra ->  Formulas -> SOLUTION: If 0<A<90 degrees, prove geometrically that sec(A-180°) = -secA      Log On


   



Question 1151397: If 0
Answer by Edwin McCravy(20056) About Me  (Show Source):
You can put this solution on YOUR website!


Draw the two right triangles congruent. 
The angle indicated by the counter-clockwise red arc is A.
The angle indicated by the clockwise green arc is A-180°.
The values of x and y are positive, and r is ALWAYS taken positive.

sec%28A-180%5Eo%29=%22%2Br%22%2F%28-x%29=-r%2Fx

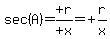
sec%28A%29=%22%2Br%22%2F%22%2Bx%22=%22%22%2Br%2Fx 

So sec%28A-180%5Eo%29=-sec%28A%29 proved geometrically.

Edwin