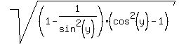
SOLUTION: What is the square root of (1-csc^2(y))*(cos^2(y)-1))?
Algebra
->
Formulas
-> SOLUTION: What is the square root of (1-csc^2(y))*(cos^2(y)-1))?
Log On
Geometric and Other Formulas
Geometric
Answers archive
Answers
Click here to see ALL problems on Geometric formulas
Question 1123878
:
What is the square root of (1-csc^2(y))*(cos^2(y)-1))?
Answer by
Alex.33(110)
(
Show Source
):
You can
put this solution on YOUR website!
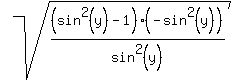
=
=
=
=
=