SOLUTION: How much money needs to get invested now to get $2,000 after 4 years at 8% compounded quarterly?
Algebra
->
Formulas
-> SOLUTION: How much money needs to get invested now to get $2,000 after 4 years at 8% compounded quarterly?
Log On
Geometric and Other Formulas
Geometric
Answers archive
Answers
Click here to see ALL problems on Geometric formulas
Question 1063725
:
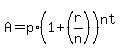
How much money needs to get invested now to get $2,000 after 4 years at 8% compounded quarterly?
Answer by
mananth(16946)
(
Show Source
):
You can
put this solution on YOUR website!
P = ?
A=2000
r= 8% = 0.08
periods 4
time 4 years
2000= P*(1+0.02)^16
2000 = P*(1.02)^16
2000=P*1.37278
P= 2000/1.37278
1456.89 = P