SOLUTION: A parabola has an equation of y^2 = 8x. Find the equation of the diameter of the parabola, which bisect chords parallel to the line x - y = 4.

Algebra ->  Formulas -> SOLUTION: A parabola has an equation of y^2 = 8x. Find the equation of the diameter of the parabola, which bisect chords parallel to the line x - y = 4.      Log On


   



Question 1054909: A parabola has an equation of y^2 = 8x. Find the equation of
the diameter of the parabola, which bisect chords parallel to
the line x - y = 4.

Answer by Edwin McCravy(20086) About Me  (Show Source):
You can put this solution on YOUR website!
A parabola has an equation of y^2 = 8x. Find the equation of
the diameter of the parabola, which bisect chords parallel to
the line x - y = 4.

A diameter of a parabola is a ray from a point on the
parabola parallel to the axis of symmetry of the parabola.



The parabola above is the graph of y2 = 8x.

The black line is the graph of x - y = 4.  

The red, green, and blue line segments are examples of 
chords parallel to the black line.  The red dotted line 
is the required diameter of the parabola which we will
show bisects all chords parallel to the black line. 

Every line parallel to x - y = 4, or y = x - 4, has slope 
(or gradient) = 1.

Let y = x + b be the equation of any chord of the parabola. Then
we solve the system:

system%28y%5E2=8x%2Cy=x%2Bb%29

by substitution and we find that the coordinates of 
the endpoints of the chord are 

%28matrix%281%2C3%2C4-b-2sqrt%284-2b%29%2C%22%2C%22%2C4-2sqrt%284-2b%29%29%29

and

%28matrix%281%2C3%2C4-b%2B2sqrt%284-2b%29%2C%22%2C%22%2C4%2B2sqrt%284-2b%29%29%29

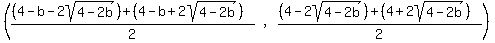
Then we find the coordinates of the midpoint of the
chord, using the midpoint formula

Midpoint = 

Midpoint = 

which simplifies to the point (4-b, 4).

So all the y-coordinates of all the midpoints of all chords 
parallel to the black line are all 4, so they are all on the line 
y = 4.

This is therefore the equation of the red dotted line which
we are looking for.

Answer: the equation of the diameter of the parabola which
bisects all the chords of the parabola parallel to the line
x-y = 4 is:

    y = 4

Edwin