SOLUTION: An Indian sand painter begins his picture with a circle of dark sand. He then inscribes a square with a side length of 1 foot inside the circle. What is the area of the circle?

Algebra ->  Formulas -> SOLUTION: An Indian sand painter begins his picture with a circle of dark sand. He then inscribes a square with a side length of 1 foot inside the circle. What is the area of the circle?       Log On


   



Question 10281: An Indian sand painter begins his picture with a circle of dark sand. He then inscribes a square with a side length of 1 foot inside the circle. What is the area of the circle?
Thank you for your help!

Answer by rapaljer(4671) About Me  (Show Source):
You can put this solution on YOUR website!
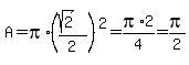
The diagonal of the square is actually the diameter of the circle. The length of this diaganal can be found by Theorem of Pythagoras: 1%5E2+%2B+1%5E2+=+d%5E2 so d%5E2+=+2 and d=sqrt%282%29. The radius of the circle is half the diameter of the circle, which is r+=+%28sqrt%282%29%29%2F2+.

Area of the circle A=pi%2Ar%5E2, so A+=+pi+%2A+%28%28sqrt%282%29%29%2F2%29%5E2=+pi%2A2%2F4+=+pi%2F2 square feet.

If you need the decimal approximation, this would be about 3.14%2F2 or 1.57 square feet.

R^2 at SCC