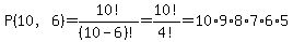
SOLUTION: Evaluate the permutation. The answer is a whole number P(10,6). Please solve and show steps. Thank you.
Algebra
->
Expressions
-> SOLUTION: Evaluate the permutation. The answer is a whole number P(10,6). Please solve and show steps. Thank you.
Log On
Algebra: Evaluation of expressions, parentheses
Section
Solvers
Solvers
Lessons
Lessons
Answers archive
Answers
Click here to see ALL problems on expressions
Question 977056
:
Evaluate the permutation. The answer is a whole number P(10,6). Please solve and show steps. Thank you.
Answer by
Fombitz(32388)
(
Show Source
):
You can
put this solution on YOUR website!