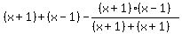
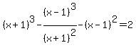
Question 973934: 1) if x is a rational number and (x+1)^3 -(x-1)^3 / (x+1)^2 - (x-1)^2 = 2, then the sum of numerator and denominator of x is ?
2) if x^2 + y^2 + 1 = 2x, then x^3 + y^5 = ?
Answer by KMST(5328) (Show Source):
You can put this solution on YOUR website! 2) If x^2+y^2+1=2x, then
x^2+y^2+1-2x=0 ---> (x^2-2x+1)+y^2=0 ---> (x-1)^2+y^2=0 ---> y=0 and x-1=0<-->x=1.
Then,
x^3 + y^5 = 1^2 + 0^2 =1 + 0 = 1
1) Did you really mean
(x+1)^3 -(x-1)^3 / (x+1)^2 - (x-1)^2 = = 2?
Or did you mean
[ (x+1)^3 -(x-1)^3 ] / [ (x+1)^2 - (x-1)^2 ]= = 2?
I like the expression,
because it has a sort of elegant symmetry, and simplifies nicely.
You can expand all those cubes and squares and laboriously simplify.
We can also use special products to simplify the expression with less risk for mistakes.
If we make the to save some writing, we can simplify easier.
We know that , that , and that .
So, .
So, going back to ,
= =
=
, so if = 2,
--> --> --> --> .
Then, the sum of numerator and denominator of x is either or .

=
=
So, if , then
-->
--> -->
--> -->
The rational number ,
where and are integers with no common factors,
that could be a solution to the equation above
has an that is a factor of the independent term, ,
and an which is a factor of the leading coefficient, .
So, or .
The problem with that, is that
for , ,
and makes the denominator zero.
For , , and
is undefined.
My conclusion is that there is no rational value of that will make
= 2
|
|
|