SOLUTION: what missing number makes the equation true? 3/5 + 17 = x/15 + 16

Algebra ->  Expressions -> SOLUTION: what missing number makes the equation true? 3/5 + 17 = x/15 + 16      Log On


   



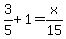
Question 938402: what missing number makes the equation true?
3/5 + 17 = x/15 + 16

Answer by Fombitz(32388) About Me  (Show Source):