SOLUTION: Having a few problems! transpose y=7+x/14 when x is the subject. Hope you can assist
Algebra
->
Expressions
-> SOLUTION: Having a few problems! transpose y=7+x/14 when x is the subject. Hope you can assist
Log On
Algebra: Evaluation of expressions, parentheses
Section
Solvers
Solvers
Lessons
Lessons
Answers archive
Answers
Click here to see ALL problems on expressions
Question 930379
:
Having a few problems!
transpose
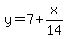
y=7+x/14
when x is the subject.
Hope you can assist
Answer by
MathLover1(20850)
(
Show Source
):
You can
put this solution on YOUR website!
if you have
, then
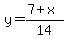
but, if you have
, then