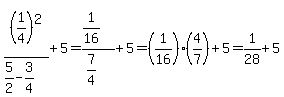
SOLUTION: simplify (1/4)to the 2nd power divided by (2 1/2 - 3/4) + 5
Algebra
->
Expressions
-> SOLUTION: simplify (1/4)to the 2nd power divided by (2 1/2 - 3/4) + 5
Log On
Algebra: Evaluation of expressions, parentheses
Section
Solvers
Solvers
Lessons
Lessons
Answers archive
Answers
Click here to see ALL problems on expressions
Question 851691
:
simplify (1/4)to the 2nd power divided by (2 1/2 - 3/4) + 5
Answer by
ewatrrr(24785)
(
Show Source
):
You can
put this solution on YOUR website!
Hi, IF You meant
= 5
1
⁄
28