SOLUTION: If: x^2 + (1 / x^2) = 3 What is the value of: x^4 + (1/x^4) Please show work if possible. Thank you.
Algebra
->
Expressions
-> SOLUTION: If: x^2 + (1 / x^2) = 3 What is the value of: x^4 + (1/x^4) Please show work if possible. Thank you.
Log On
Algebra: Evaluation of expressions, parentheses
Section
Solvers
Solvers
Lessons
Lessons
Answers archive
Answers
Click here to see ALL problems on expressions
Question 803199
:
If:
x^2 + (1 / x^2) = 3
What is the value of:
x^4 + (1/x^4)
Please show work if possible. Thank you.
Answer by
mananth(16946)
(
Show Source
):
You can
put this solution on YOUR website!
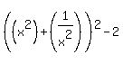
=
But x^2+(1/x^2) =3
= 3^2-2
=9-2
7