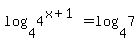
SOLUTION: Solve for x: 3*4^(x+1)-2=19
Algebra
->
Expressions
-> SOLUTION: Solve for x: 3*4^(x+1)-2=19
Log On
Algebra: Evaluation of expressions, parentheses
Section
Solvers
Solvers
Lessons
Lessons
Answers archive
Answers
Click here to see ALL problems on expressions
Question 752051
:
Solve for x: 3*4^(x+1)-2=19
Answer by
tommyt3rd(5050)
(
Show Source
):
You can
put this solution on YOUR website!
:)