SOLUTION: evaluate (a^4)^3 when a = (2/3)^-1/6
Algebra
->
Expressions
-> SOLUTION: evaluate (a^4)^3 when a = (2/3)^-1/6
Log On
Algebra: Evaluation of expressions, parentheses
Section
Solvers
Solvers
Lessons
Lessons
Answers archive
Answers
Click here to see ALL problems on expressions
Question 712589
:
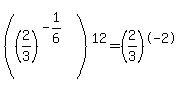
evaluate (a^4)^3 when a = (2/3)^-1/6
Answer by
Alan3354(69443)
(
Show Source
):
You can
put this solution on YOUR website!
evaluate (a^4)^3 when a = (2/3)^-1/6
------------
= 9/4