SOLUTION: x+4/x-3=10/3-x

Algebra ->  Expressions -> SOLUTION: x+4/x-3=10/3-x      Log On


   



Question 627615: x+4/x-3=10/3-x
Answer by Maths68(1474) About Me  (Show Source):
You can put this solution on YOUR website!
%28x%2B4%29%2F%28x-3%29=10%2F%283-x%29
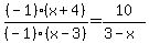
%28-1%29%28x%2B4%29%2F%28-1%29%28x-3%29=10%2F%283-x%29
%28-x-4%29%2F%283-x%29=10%2F%283-x%29
%28-x-4%29%2Fcross%28%283-x%29%29=10%2Fcross%28%283-x%29%29
-x-4=10
-x=10%2B4
-x=14
Multiply by -1 both sides
x=-14

Check
=====
%28x%2B4%29%2F%28x-3%29=10%2F%283-x%29
Put x=-14
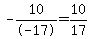
%28-14%2B4%29%2F%28-14-3%29=10%2F%283-%28-14%29%29
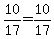
-10%2F-17=10%2F%283%2B14%29
-10%2F-17=10%2F%283%2B14%29
-10%2F-17=10%2F17
Cancel out (-) from left side
10%2F17=10%2F17