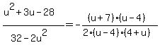
SOLUTION: u^2+3u-28/32-2u^2 Simplify
Algebra
->
Expressions
-> SOLUTION: u^2+3u-28/32-2u^2 Simplify
Log On
Algebra: Evaluation of expressions, parentheses
Section
Solvers
Solvers
Lessons
Lessons
Answers archive
Answers
Click here to see ALL problems on expressions
Question 370179
:
u^2+3u-28/32-2u^2
Simplify
Answer by
Fombitz(32388)
(
Show Source
):
You can
put this solution on YOUR website!