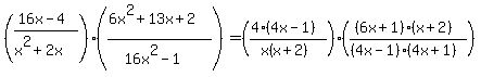
SOLUTION: I do not understand how to multiply this expression,(16x-4)/(x^2+2x )*(6x^2+13x+2)/(16x^2-1). thank you in advance

Algebra ->  Expressions -> SOLUTION: I do not understand how to multiply this expression,(16x-4)/(x^2+2x )*(6x^2+13x+2)/(16x^2-1). thank you in advance      Log On


   



Question 328612: I do not understand how to multiply this expression,(16x-4)/(x^2+2x )*(6x^2+13x+2)/(16x^2-1). thank you in advance
Answer by Fombitz(32388) About Me  (Show Source):