SOLUTION: simplify (a2b^3c/2b^2c^3)^4 Evaluate (1/3)^3 + 5/27 – 1/3 x (1/9)^2

Algebra ->  Expressions -> SOLUTION: simplify (a2b^3c/2b^2c^3)^4 Evaluate (1/3)^3 + 5/27 – 1/3 x (1/9)^2      Log On


   



Question 322937: simplify
(a2b^3c/2b^2c^3)^4


Evaluate
(1/3)^3 + 5/27 – 1/3 x (1/9)^2

Answer by Fombitz(32388) About Me  (Show Source):
You can put this solution on YOUR website!
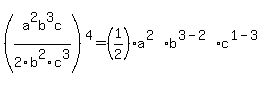
%28a%5E2b%5E3c%2F2b%5E2c%5E3%29%5E4=%281%2F2%29a%5E%282%29b%5E%283-2%29c%5E%281-3%29
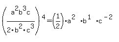
%28a%5E2b%5E3c%2F2b%5E2c%5E3%29%5E4=%281%2F2%29a%5E%282%29b%5E%281%29c%5E%28-2%29
%28a%5E2b%5E3c%2F2b%5E2c%5E3%29%5E4=%28a%5E%282%29b%29%2F%282c%5E2%29
.
.
.

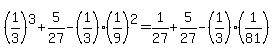
%281%2F3%29%5E3+%2B+5%2F27+-+%281%2F3%29%281%2F9%29%5E2=1%2F27%2B5%2F27-1%2F243
Use the common denominator 243.
%281%2F3%29%5E3+%2B+5%2F27+-+%281%2F3%29%281%2F9%29%5E2=9%2F243%2B45%2F243-1%2F243
%281%2F3%29%5E3+%2B+5%2F27+-%281%2F3%29%281%2F9%29%5E2=53%2F243