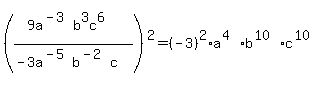
SOLUTION: Simplify the following exponential expression (9a^-3b^3c^6/-3a^-5b^-2c)-2 I know the first letter would be -3a but I just don't know what to do about the -2 on the outside of t

Algebra ->  Expressions -> SOLUTION: Simplify the following exponential expression (9a^-3b^3c^6/-3a^-5b^-2c)-2 I know the first letter would be -3a but I just don't know what to do about the -2 on the outside of t      Log On


   



Question 315106: Simplify the following exponential expression
(9a^-3b^3c^6/-3a^-5b^-2c)-2
I know the first letter would be -3a but I just don't know what to do about the -2 on the outside of the parenthese of the problem.
Thanks for your help

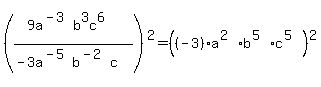
Answer by Fombitz(32388) About Me  (Show Source):