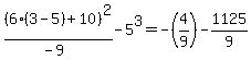
SOLUTION: help to solve this problem {6(3 - 5) + 10}little 2 divide (-9) - 5 little 3
Algebra
->
Expressions
-> SOLUTION: help to solve this problem {6(3 - 5) + 10}little 2 divide (-9) - 5 little 3
Log On
Algebra: Evaluation of expressions, parentheses
Section
Solvers
Solvers
Lessons
Lessons
Answers archive
Answers
Click here to see ALL problems on expressions
Question 295556
:
help to solve this problem
{6(3 - 5) + 10}little 2 divide (-9) - 5 little 3
Answer by
Fombitz(32388)
(
Show Source
):
You can
put this solution on YOUR website!
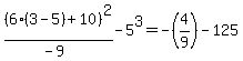
By little do you mean an exponent like this
???
I'll assume that's what you mean.