SOLUTION: z^2/ z-3 - z/z+3 answer: z3 + 2z^2 + 3z/ (z-3) (z+3) anyone can give me a full break down on why the answer is z3 +2z^2 +3z

Algebra ->  Expressions -> SOLUTION: z^2/ z-3 - z/z+3 answer: z3 + 2z^2 + 3z/ (z-3) (z+3) anyone can give me a full break down on why the answer is z3 +2z^2 +3z      Log On


   



Question 193726: z^2/ z-3 - z/z+3


answer: z3 + 2z^2 + 3z/ (z-3) (z+3)
anyone can give me a full break down on why the answer is z3 +2z^2 +3z

Found 2 solutions by jim_thompson5910, RAY100:
Answer by jim_thompson5910(35256) About Me  (Show Source):
You can put this solution on YOUR website!
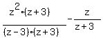
%28z%5E2%29%2F%28z-3%29+-+z%2F%28z%2B3%29 Start with the given expression.


Take note that the LCD is %28z-3%29%28z%2B3%29. Note: in this case, you simply multiply ALL of the denominators to get the LCD.


%28z%5E2%28z%2B3%29%29%2F%28%28z-3%29%28z%2B3%29%29+-+z%2F%28z%2B3%29 Multiply the first fraction by %28z%2B3%29%2F%28z%2B3%29 to get the first denominator equal to the LCD


%28z%5E3%2B3z%5E2%29%2F%28%28z-3%29%28z%2B3%29%29+-+z%2F%28z%2B3%29 Distribute


Multiply the second fraction by %28z-3%29%2F%28z-3%29 to get the second denominator equal to the LCD


Distribute


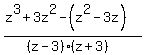
%28z%5E3%2B3z%5E2-+%28z%5E2-3z%29%29%2F%28%28z-3%29%28z%2B3%29%29 Now that the fractions are equal, combine the fractions.


%28z%5E3%2B3z%5E2-+z%5E2%2B3z%29%2F%28%28z-3%29%28z%2B3%29%29 Distribute


%28z%5E3%2B2z%5E2%2B3z%29%2F%28%28z-3%29%28z%2B3%29%29 Combine like terms.


So where z%3C%3E-3 or z%3C%3E3

Answer by RAY100(1637) About Me  (Show Source):
You can put this solution on YOUR website!
we believe the problem is:
,
z^2/(z-3) - z/(z+3)
,
LCD is (z-3)(z+3)
,
( z^2(z+3) - z(z-3) ) / ( (z+3) (z-3) )
,
( z^3+3z^2-z^2+3 ) / (z+3)(z-3)
,
( z^3 + 2z^2 +3 ) / ( (z+3)(z-3) )
,
checking,,
let z=0, original =0, answer =0
let z=1, original =-3/4,,,answer = -6/8==-3/4,,,ok