SOLUTION: 20)4^-2 simplify
Algebra
->
Expressions
-> SOLUTION: 20)4^-2 simplify
Log On
Algebra: Evaluation of expressions, parentheses
Section
Solvers
Solvers
Lessons
Lessons
Answers archive
Answers
Click here to see ALL problems on expressions
Question 175959
:
20)4^-2
simplify
Found 2 solutions by
josmiceli, tutorcecilia
:
Answer by
josmiceli(19441)
(
Show Source
):
You can
put this solution on YOUR website!
200
Answer by
tutorcecilia(2152)
(
Show Source
):
You can
put this solution on YOUR website!
(
)
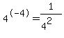
(
) Place 4^-2 in the denominator in order to get rid of the negative exponent
.
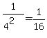
(
)
.
(
)Simplify