SOLUTION: Simplify and combine like terms: (1/3)(4x + 4) - (2/3) (5x - 3)
Algebra
->
Expressions
-> SOLUTION: Simplify and combine like terms: (1/3)(4x + 4) - (2/3) (5x - 3)
Log On
Algebra: Evaluation of expressions, parentheses
Section
Solvers
Solvers
Lessons
Lessons
Answers archive
Answers
Click here to see ALL problems on expressions
Question 163894
:
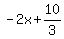
Simplify and combine like terms:
(1/3)(4x + 4) - (2/3) (5x - 3)
Answer by
orca(409)
(
Show Source
):
You can
put this solution on YOUR website!
=
=
=
=