SOLUTION: 3x – 8x2 + 11 – 4x2 + 2x – 1 – 8 + 3x2 Combine like terms!
Algebra
->
Expressions
-> SOLUTION: 3x – 8x2 + 11 – 4x2 + 2x – 1 – 8 + 3x2 Combine like terms!
Log On
Algebra: Evaluation of expressions, parentheses
Section
Solvers
Solvers
Lessons
Lessons
Answers archive
Answers
Click here to see ALL problems on expressions
Question 163893
:
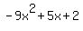
3x – 8x2 + 11 – 4x2 + 2x – 1 – 8 + 3x2
Combine like terms!
Answer by
mathispowerful(115)
(
Show Source
):
You can
put this solution on YOUR website!
Answer:
algebraic term are like terms if they have the same variable part:
=
= 5x
= 2
so final answer is :