SOLUTION: the sum must equal to 64. use groupings 8*20-9-5/2squared thanks
Algebra
->
Expressions
-> SOLUTION: the sum must equal to 64. use groupings 8*20-9-5/2squared thanks
Log On
Algebra: Evaluation of expressions, parentheses
Section
Solvers
Solvers
Lessons
Lessons
Answers archive
Answers
Click here to see ALL problems on expressions
Question 159899
:
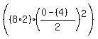
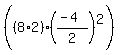
the sum must equal to 64. use groupings
8*20-9-5/2squared thanks
Answer by
vleith(2983)
(
Show Source
):
You can
put this solution on YOUR website!