SOLUTION: Factor the given expression. Express your answer so that only positive exponents occur. (x^2 + 4)^(4/3) + x • (4/3)(x^2 + 4)^(1/3) • 2x

Algebra ->  Expressions -> SOLUTION: Factor the given expression. Express your answer so that only positive exponents occur. (x^2 + 4)^(4/3) + x • (4/3)(x^2 + 4)^(1/3) • 2x      Log On


   



Question 1208446: Factor the given expression. Express your answer so that only positive exponents occur.

(x^2 + 4)^(4/3) + x • (4/3)(x^2 + 4)^(1/3) • 2x

Found 3 solutions by mccravyedwin, ikleyn, Edwin McCravy:
Answer by mccravyedwin(421) About Me  (Show Source):
You can put this solution on YOUR website!



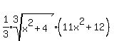
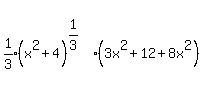
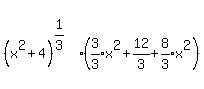
Factor out matrix%282%2C1%2C%22%22%2C%28x%5E2+%2B+4%29%5E%281%2F3%29%29

 





Get the fraction on the outside of the parentheses by writing everything
over the least common denominator of 3, then factor out 1/3"

 
 
 

 

Ikleyn will probably say it's not simplified if I don't change the
1/3 power to a cube root, so here goes:

matrix%282%2C1%2C%22%22%2Cexpr%281%2F3%29%2Aroot%283%2Cx%5E2%2B4%29%2811x%5E2+%2B+12%29%29

Now all she can complain about is that I don't skip steps and write 3/3
and then 1 exponents.

Edwin


Answer by ikleyn(53862) About Me  (Show Source):
You can put this solution on YOUR website!
.

Edwin, thank you for sharing your thoughts with me.
My thoughts on these subjects are slightly different.

         P A R T    1

The population of US is about 320 millions.
If we assume, that this population is distributed uniformly along/among the age in 80 sections according the years 
from 1 to 80, it gives us ~ 4 millions in each year of their age.
Of them, 5 successive years, from 5th grade to 9th grade have some relation to algebra in their schools.
It gives 4 x 5 millions = 20 millions.
Only 20% continue their education in colleges and universities.
It gives 0.2*20 millions = 4 millions.
The rest 20 millions - 4 millions = 16 millions will never need Math in their everyday life.
Of these 4 millions, only one of 10 has some inclination to Math. It gives 400,000 of those, who may be, or probably, 
will touch Math in their life.
But in reality, the coefficient is not 0.1 for real using Math, or Math skills, or Math thinking.
I think that this real coefficient is 0.01, instead, giving 40,000 of 5 years, who need to have accurate and progressive Math thinking per year.
Of these 40,000, really only 0.1 of them (or 4,000) are able to be really creative and create new ideas providing real progress 
in different branches of Science and industry: Physics, Engineering, Chemistry, Biology, Economics, Medicine. 
(In this my count, I did not calculate those who will become teachers, professors etc.)

So, 4,000 per year are needed to have real mathematically creative thinkers, and 40,000 to accompany these 4,000.
Saying "creative thinkers", I mean people having firm mathematical basics knowledge 
PLUS an ability to think on their own PLUS an ability to make a jump to another/new level - into the unknown.

So, 4,000 per year are the CORE, and 40,000 around them are to support and accompany.

These 4,000 and 40,000 are my focus. They are my focus.

Standard contemporary Math education in US can not provide neither these 4,000 of the CORE, nor 40,000 to accompany.

To provide and develop them, another system of Mathematical education is needed - the system NOT FOR ALL and NOT FOR EVERYBODY.

It is the system of Math education for those who are INCLINED to Math.

Actually, in the word and contemporary in the US such a system (or a sub-system) of Math education just EXISTs. It is the system of Math schools (RSM = Russian Math Schools).

First such schools in US were created by immigrants of 90-s from Russia (of huge wave of immigrants of this time), where the tradition of Mathematical schools and mathematical circles 
were created and were supported starting from 50-s and 60-s of the last century.

Probably, it was the greatest value, which this wave of immigrants brought to the US - the culture of the advanced mathematical education for children/young students, inclined to Math.

Yes, in US, equally as in the former USSR, just existed a popular literature of the school and elementary Math level, but in US it was oriented mostly to those students, who wished 
to become professional mathematicians and participate in Math Olympiads of the international level.

But the number of such students in not 4,000 per year and is not 40,000 per year - it is about 100 per year, and it is totally different category.


The Russian system of Math schools was targeted to create much wider circle of all of those, who will work in Science and Engineering, in general.

In Russia of that years, two tendencies fight one with the other - the tendency to teach for people and the tendency to teach for the state.

This fight was dramatic, and only those who observed it from inside, could understand the processes. Only one tendency could to win and to survive.

What is the difference between teaching for people and teaching for the state ? - Teaching for the state becomes bureaucratic; becomes formal and cuts off the enthusiasts. 
It becomes non-interesting. Also, the tone is changed: it becomes formal.

In 60-s, teaching for people was on increasing branch; but it was stopped by their government in 70-s and turned into teaching for state later. 
With the time (with the years) this education system, which was very progressive at its origin, heavily degenerated later.
After their crisis in 90s, their educational system stopped existing anymore. // No, it still does exist formally, but does not produce any useful.

But some enthusiasts of the teaching Math for people survived and brought their ideas with this emigration wave.

Now in the US, parallel to RSM, do exist similar Math schools among Chinese diaspora and India diaspora.

Only such form of Math education - the system of Math schools, - is able to provide 4,000 creative minds in the US per year plus 40,000 accompanied minds per year.


  +------------------------------------------------------------------------+
  | They are those for whom I work here at this forum - they are my focus. |
  +------------------------------------------------------------------------+


It does not mean that only advanced Math should be presented there - NO. Everything from start to advanced topics should be covered uniformly 
and carefully explained.

But one thing should be EXCLUDED: teaching inside the box, which is a standard way to teach in average school. 

So, my principle of teaching Math is to give students a view at least one step out the box. 

There is another important issue in Math literature for children and young students -
   - it is taking a right TONE.


The tone should not be formal - it should be normal tone conversation with child or young teenagers.

It should contain emotions, humor, explaining what is right, what is wrong, what is excellent and why.

One wise scientist (physicist, of course - who else can create such a profound thought) and famous teacher/professor said once 
that collections of problems in Math and/or in Physics are similar to fair tales for children - they teach the students to life.



Ok. These are my thoughts about mathematical education.


.....................................................................


         P A R T    2


Now about what happens at this forum, as my view.


I am at the forum from the middle of 2011 (after my retiring).


Till 2015, among the visitors, there was significant part of real students with their problems - I think, about 60%.


About 20% were half-mad people or totally illiterate in Math, which I will not count, for clarity.


In the interval 2015-2019 (pre-covid era) I observed the increasing number of teachers, who wanted to improve their skills, 
asking to explain them, how to present the solutions of the problems to students.
Such requests are easy to identify by the words "let x be something and y be another something" after a normal word problem.

I think that among these people, was also a significant amount of those who came to the forum in order for to use our solutions
to fill other web-sites and re-distribute them among other web-sites.


OK. But at the covid-era, many things changed significantly.


The number of those, who don't know Math AT ALL and are UNABLE TO TEACH, but WANT TO TEACH became astronomic.

I call them quasi-tutors. 


In the same proportion, the number of those who transported our solutions to other web-sites, also became astronomic.

As always, the flow of non-sensical problems from semi-mad persons and totally illiterate in Math persons was kept the same 10-20%.

As always, the number of routine normal Math problems was about 15-20%.

The percent of good and very interesting math problem was/is about 5% - 8%.


.....................................................................


         P A R T    3


After the covid era, new times came - the Artificial Intelligence era.


Now we, the tutors of this forum, work 50% to feed this AI - we produce the basic solutions for it just one or two years.


Do you like it or not - but it is so. It is the reality, independently of your wishes and your thinking.


Still 5% - 10% of semi-mad posts do exist at the forum.

50% of posts are for AI.

10% - 20% are for real/human visitors.

10%-20% are regular/routine school assignments.

The rest 5% are for upper level problems.



        Is this AI good or bad in the school Math education ?



Really, I don't know the answer to this question for to be sure.


From one side, AI can replace the most majority of the average school Math teachers.


For 95% of school students it will be almost the same, with no difference.
As they did not know Math in the past and don't know Math in the present - exactly in the same way/proportion 
they will not learn it from AI.


A real difference is/(will be) for 1% (or less) of advanced students. 


What can change differently, is THIS: now 95% of school students do not know Math, but many of them are neutral to Math.

         After AI teaching, I afraid that many of these 95% will HATE Math.


I believe (it is only my subjective belief) that real knowledge of Math can be passed only by human and from human to human 
from hands to hands, from mind to mind and from head to head - and not via computer or via artificial intelligence.


From the very smart and professional people (even from those thinkers who work in AI industry), 
I heard their opinion that computerized education can not replace a traditional education.
One can complement another, but can not replace, and I firmly believe in it.


And THEREFORE, in the era of AI, the Math school mathematical education may become the only real alternative 
to all other forms of mathematical education for those school students who need it.



Answer by Edwin McCravy(20085) About Me  (Show Source):
You can put this solution on YOUR website!

Ikleyn, the fault with algebra.com is that tutors have no way to communicate on
this site except on the solutions pages. But they should be only for the student, 
not for tutors to debate.  The reason there is none might be for the same reason
that the faculty lounge was removed from the college where I taught for 40
years.  They did not want faculty members of different subjects discussing
students, as a student might be great in one subject and poor in another. So the
college officials did not think it wise to make it so easy for two faculty
members of different subjects to discuss the same student.  But it should be
different here because the tutors here are only for mathematics, and the
students are anonymous.

Unlike in the old days, many schools are now only offering basic algebra, and
moving students immediately into statistics -- and now mostly by canned computer
programs. For that's the way it's done in industry.

Apparently, this doesn't interest any of us tutors on here.  At the college
where I taught, we were all required to teach one course in statistics each
semester, and most of us hated it. We grew tired of the bell-shaped curve!

Before the digital age, the mathematics curriculum from basic algebra through
calculus, was to give enough background so that students could end up being
able to solve ordinary and partial differential equations.  Solving them was
crucial for engineers and scientists. But now digital computers can numerically
solve all differential equations instantly.  

Anyway, I have a hunch algebra.com is on its way to extinction or, alas, it may
evolve into a purely statistics tutoring site, if enough statistics tutors can
be attracted here.

Have a good day!

Edwin