SOLUTION: Have I answered the 2 product and quotient of each given expression below? PROBLEM 1 X^2-Y^2/(X=Y)^2 times 2x+2y/3x -----------I come up with (x+y)(2x+2y)/3x(x-y) PROBLEM

Algebra ->  Expressions -> SOLUTION: Have I answered the 2 product and quotient of each given expression below? PROBLEM 1 X^2-Y^2/(X=Y)^2 times 2x+2y/3x -----------I come up with (x+y)(2x+2y)/3x(x-y) PROBLEM      Log On


   



Question 1186845: Have I answered the 2 product and quotient of each given expression below?
PROBLEM 1
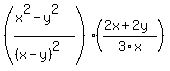
X^2-Y^2/(X=Y)^2 times 2x+2y/3x -----------I come up with (x+y)(2x+2y)/3x(x-y)
PROBLEM 2
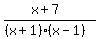
X^2+3X-28/X^2-16 Divided by x^2-1/x+4 ------- I come up with x+7/x^2-1
Thank you

Found 3 solutions by MathLover1, MathTherapy, greenestamps:
Answer by MathLover1(20850) About Me  (Show Source):
You can put this solution on YOUR website!

your answers are correct



Answer by MathTherapy(10555) About Me  (Show Source):
You can put this solution on YOUR website!
Have I answered the 2 product and quotient of each given expression below?
PROBLEM 1
X^2-Y^2/(X=Y)^2 times 2x+2y/3x -----------I come up with (x+y)(2x+2y)/3x(x-y)
PROBLEM 2
X^2+3X-28/X^2-16 Divided by x^2-1/x+4 ------- I come up with x+7/x^2-1
Thank you
If the expression is: %28%28x%5E2+-+y%5E2%29%2F%28x+%2B+y%29%5E2%29+%2A+%28%282x+%2B+2y%29%2F%283x%29%29, then your 1st answer is INCORRECT. 
Correct answer, based on the above:

Answer by greenestamps(13203) About Me  (Show Source):
You can put this solution on YOUR website!


(1) "Have I answered the 2 product and quotient of each given expression below?"

ANSWER: Yes, you have answered them.

But clearly the question you meant to ask was whether you had answered them CORRECTLY. The answer to that question is NO. (Close, but not quite....)

(2) Don't mix lower- and upper-case letters when showing algebraic expressions. "x" and "X" in the same problem can represent different numbers.

(3) Use parentheses where required. Neither of the expressions you show can be simplified much.

Here are the expressions you show (except I have corrected "(x=y)^2" to "(x-y)^2":

Problem 1:

x%5E2-y%5E2%2F%28x-y%29%5E2 times 2x%2B2y%2F3x

Problem 2:

x%5E2%2B3x-28%2Fx%5E2-16 divided by x%5E2-1%2Fx%2B4

Those are obviously not the expressions you meant to show!

Note your lack of parentheses also makes the answers you show incorrect.



Now to look at the problems you INTENDED to post....

(1)

%28%28x%5E2-y%5E2%29%2F%28%28x-y%29%5E2%29%29%2A%28%282x%2B2y%29%2F3x%29

%28%28x%2By%29%28x-y%29%282%29%28x%2By%29%29%2F%28%28x-y%29%28x-y%29%283x%29%29

The only common factor between numerator and denominator is (x-y):

ANSWER: %282%28x%2By%29%5E2%29%2F%28%283x%29%28x-y%29%29

So your answer on that one was right, except that the factor (2x+2y) should be factored further.

(2)

%28%28x%5E2%2B3x-28%29%2F%28x%5E2-16%29%29%2F%28%28x%5E2-1%29%2F%28x%2B4%29%29

%28%28x%5E2%2B3x-28%29%2F%28x%5E2-16%29%29%2A%28%28x%2B4%29%2F%28x%5E2-1%29%29

%28%28x%2B7%29%28x-4%29%28x%2B4%29%29%2F%28%28x%2B4%29%28x-4%29%28x%2B1%29%28x-1%29%29

The (x+4) and (x-4) factors all cancel

%28x%2B7%29%2F%28%28x%2B1%29%28x-1%29%29

ANSWER: %28x%2B7%29%2F%28x%5E2-1%29

So your answer for that one was right.


Final summary:

Your algebra is mostly correct....

But take the time to make your post using correct language, and using parentheses where required.