Question 1186674: The differential equation
y+y3=(y5+2x)y′
can be written in differential form:
M(x,y)dx+N(x,y)dy=0
where
M(x,y)=
, and N(x,y)=
.
The term M(x,y)dx+N(x,y)dy becomes an exact differential if the left hand side above is divided by y3. Integrating that new equation, the solution of the differential equation is
=C.
Answer by Edwin McCravy(20056) (Show Source):
You can put this solution on YOUR website!
Let's write it this way
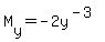
He tells us to divide through by y3 to make it an exact differential
equation. So Let's multiply through by y-3 (same thing!)
Get the sign between them +
So
and
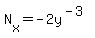
Now let's show that the DE is exact by showing the partial derivatives
,
They are equal, so the differential equation is now exact.
So let's integrate both sides with respect to both variables.
Notice these 3 facts:
1. When we integrate something containing dx with respect to the other letter y,
we get some function of the letter of its differential dx, the letter x, say u(x).
2. When we integrate something containing dy with respect to the other letter x,
we get some function of the letter of its differential dy, the letter y, say v(y).
3. When we integrate 0 with respect to either letter, we get the same constant C.
Let's integrate with respect to x:

Let's integrate with respect to y:

We must have gotten exactly the same thing when we integrated with
respect to x that we got when we integrated with respect to y
Therefore this equation,
must be identical with this equation
The equations will be identical if and only if
and
Therefore the general solution is
Edwin
|
|
|