SOLUTION: A. Let g(t) be the solution of the initial value problem
4t(dy/dt)+y=0, t>0,
with g(1)=1.
Find g(t).
g(t)= My answer is t^(-1/4), is correct.
B. Let f(t) be the solution of
Algebra ->
Expressions
-> SOLUTION: A. Let g(t) be the solution of the initial value problem
4t(dy/dt)+y=0, t>0,
with g(1)=1.
Find g(t).
g(t)= My answer is t^(-1/4), is correct.
B. Let f(t) be the solution of
Log On
Question 1184045: A. Let g(t) be the solution of the initial value problem
4t(dy/dt)+y=0, t>0,
with g(1)=1.
Find g(t).
g(t)= My answer is t^(-1/4), is correct.
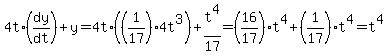
B. Let f(t) be the solution of the initial value problem
4t(dy/dt)+y=t^4
with f(0)=0.
Find f(t).
f(t)= My answer is 1/4t^(1/3), it's wrong
C. Find a constant c so that
k(t)=f(t)+cg(t)
solves the differential equation in part B and k(1)=14.
c= Answer by robertb(5830) (Show Source):