SOLUTION: given the explicit formula for a geometric sequence find the first five terms and the eight term http://prntscr.com/s9idhj

Algebra ->  Expressions -> SOLUTION: given the explicit formula for a geometric sequence find the first five terms and the eight term http://prntscr.com/s9idhj      Log On


   



Question 1157840: given the explicit formula for a geometric sequence find the first five terms and the eight term
http://prntscr.com/s9idhj

Answer by MathLover1(20850) About Me  (Show Source):
You can put this solution on YOUR website!

7.
a%5Bn%5D=3%5E%28n-1%29

1st term, n=1=>a%5B1%5D=3%5E%281-1%29=>a%5B1%5D=3%5E0=>a%5B1%5D=1
2nd term, n=2=>a%5B2%5D=3%5E%282-1%29=>a%5B2%5D=3%5E1=>a%5B2%5D=3
3rd term, n=3=>a%5B3%5D=3%5E%283-1%29=>a%5B3%5D=3%5E2=>a%5B3%5D=9
4th term, n=4=>a%5B4%5D=3%5E%284-1%29=>a%5B4%5D=3%5E3=>a%5B4%5D=27
5th term, n=5=>a%5B5%5D=3%5E%285-1%29=>a%5B5%5D=3%5E4=>a%5B5%5D=81
8th term, n=8=>a%5B8%5D=3%5E%288-1%29=>a%5B8%5D=3%5E7=>a%5B8%5D=2187


8.
a%5Bn%5D=2%281%2F4%29%5E%28n-1%29

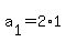
1st term, n=1=>a%5B1%5D=2%281%2F4%29%5E%281-1%29=>a%5B1%5D=2%281%2F4%29%5E0=>a%5B1%5D=2%2A1=>a%5B1%5D=2
2nd term, n=2=>a%5B2%5D=2%281%2F4%29%5E%282-1%29=>a%5B2%5D=2%281%2F4%29%5E1=>a%5B2%5D=2%2F4=>a%5B2%5D=1%2F2
3rd term, n=3=>a%5B3%5D=2%281%2F4%29%5E%283-1%29=>a%5B3%5D=2%281%2F4%29%5E2=>a%5B3%5D=2%281%2F16%29=>a%5B3%5D=1%2F8
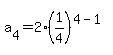
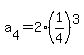
4th term, n=4=>a%5B4%5D=2%281%2F4%29%5E%284-1%29=>a%5B4%5D=2%281%2F4%29%5E3=>a%5B4%5D=2%281%2F64%29=>a%5B4%5D=1%2F32
5th term, n=5=>a%5B5%5D=2%281%2F4%29%5E%285-1%29=>a%5B5%5D=2%281%2F4%29%5E4=>a%5B5%5D=2%281%2F256%29=>a%5B5%5D=1%2F128
8th term, n=8=>a%5B8%5D=2%281%2F4%29%5E%288-1%29=>a%5B8%5D=2%281%2F4%29%5E7=>a%5B8%5D=2%281%2F16384%29=>a%5B8%5D=1%2F8192