SOLUTION: given two terms in a geometric sequence find the term named in the problem and the explicit formula http://prntscr.com/s9icre

Algebra ->  Expressions -> SOLUTION: given two terms in a geometric sequence find the term named in the problem and the explicit formula http://prntscr.com/s9icre      Log On


   



Question 1157839: given two terms in a geometric sequence find the term named in the problem and the explicit formula
http://prntscr.com/s9icre

Found 2 solutions by greenestamps, MathLover1:
Answer by greenestamps(13334) About Me  (Show Source):
You can put this solution on YOUR website!


#24....

For any geometric sequence,
a%28n%29+=+a%280%29%2Ar%5E%28n-1%29

The formula says exactly what the definition of a geometric sequence says: the n-th term is the first term, multiplied by the common ratio, r, (n-1) times.

Note it is (n-1) times, because the first term is multiplied by the common ratio 0 times.

a%285%29=48
a%284%29=24

Formally, divide a(5) by a(4):

a%285%29%2Fa%284%29+=+%28a%280%29r%5E4%29%2F%28a%280%29r%5E3%29+=+r
r+=+48%2F24+=+2

Informally, simply observe that the 5th term is the 4th term multiplied by the common ratio; 48/24 = 2.

We have determined r; to finish finding the explicit formula, we need to find a(0).

a%284%29+=+24+=+a%280%29r%5E3+=+a%280%292%5E3+=+8a%280%29
a%280%29+=+24%2F8+=+3

The explicit formula is
a%28n%29+=+3%282%5E%28n-1%29%29

Evaluate a(9) using the formula.

Or, informally, multiply the 5th term, 48, by 2, 4 more times....


Answer by MathLover1(20855) About Me  (Show Source):
You can put this solution on YOUR website!

23.
a geometric sequence, is a sequence of numbers where each term after the first is found by multiplying the previous one by a fixed, non-zero number called the common ratio r
We can also calculate any term using the Rule:
a%5Bn%5D=a%5B1%5D%2Ar%5E%28n-1%29
given:
a%5B6%5D=-128->n=6
a%5B6%5D=a%5B1%5D%2Ar%5E%286-1%29
-128=a%5B1%5D%2Ar%5E5........solve for a%5B1%5D
a%5B1%5D=-128%2Fr%5E5......eq.1

a%5B3%5D=-16->n=3
a%5B3%5D=a%5B1%5D%2Ar%5E%283-1%29
-16=a%5B1%5D%2Ar%5E2........solve for a%5B1%5D
a%5B1%5D=-16%2Fr%5E2......eq.2

from eq.1 and eq.2 we have

-128%2Fr%5E5=-16%2Fr%5E2.......cross multiply
-128r%5E2=-16r%5E5.....both sides divide by r%5E2
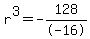
-128=-16r%5E3
r%5E3=-128%2F-16
r%5E3=8
r%5E3=2%5E3
r=2
go to
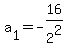
a%5B1%5D=-16%2Fr%5E2......eq.2, substitute r
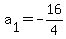
a%5B1%5D=-16%2F2%5E2
a%5B1%5D=-16%2F4
a%5B1%5D=-4
nth term formula is:
a%5Bn%5D=%28-4%29%2A2%5E%28n-1%29

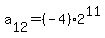
find a%5B12%5D->n=12
a%5B12%5D=%28-4%29%2A2%5E%2812-1%29
a%5B12%5D=%28-4%29%2A2%5E11
a%5B12%5D=%28-4%29%2A2048
a%5B12%5D=-8192



24.
a%5Bn%5D=a%5B1%5D%2Ar%5E%28n-1%29
given:
a%5B5%5D=48->n=5
48=a%5B1%5D%2Ar%5E%285-1%29
48=a%5B1%5D%2Ar%5E4
a%5B1%5D=48%2Fr%5E4.....eq.1
a%5B4%5D=24->n=4
24=a%5B1%5D%2Ar%5E%284-1%29
24=a%5B1%5D%2Ar%5E3
a%5B1%5D=24%2Fr%5E3.....eq.2
from eq.1 and eq.2 we have

48%2Fr%5E4=24%2Fr%5E3

48r%5E3=24r%5E4
48=24r
r=48%2F24
r=2

a%5B1%5D=24%2Fr%5E3.....eq.2, plug in r
a%5B1%5D=24%2F2%5E3
a%5B1%5D=24%2F8
a%5B1%5D=3
then,
a%5Bn%5D=3%2A2%5E%28n-1%29

find a%5B9%5D->n=9
a%5B9%5D=3%2A2%5E%289-1%29
a%5B9%5D=3%2A2%5E8
a%5B9%5D=3%2A256
a%5B9%5D=768