SOLUTION: A bucket in the form of a frustum of a cone. The top and bottom radius are 7cm and 4cm respectively and the height is 12cm. Calculate The curved surface area and the total surfac

Algebra ->  Expressions -> SOLUTION: A bucket in the form of a frustum of a cone. The top and bottom radius are 7cm and 4cm respectively and the height is 12cm. Calculate The curved surface area and the total surfac      Log On


   



Question 1151540: A bucket in the form of a frustum of a cone. The top and bottom radius are 7cm and 4cm respectively and the height is 12cm. Calculate
The curved surface area and the total surface area?

Answer by MathLover1(20850) About Me  (Show Source):
You can put this solution on YOUR website!

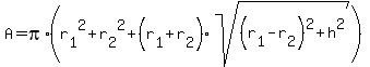
Total surface area of a conical frustum:
A+=+pi+%2A+%28r%5B1%5D%5E2+%2B+r%5B2%5D%5E2+%2B+%28r%5B1%5D+%2B+r%5B2%5D%29+%2A+s%29

given:

r%5B1%5D+=7cm+
r%5B2%5D=4cm+
h=12cm
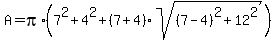
A+=+pi+%2A+%28+7%5E2+%2B+4%5E2+%2B+%287+%2B+4%29+%2A+sqrt%28%287+-+4%29%5E2+%2B12%5E2%29%29
A+=+pi+%2A+%28+49+%2B+16+%2B+11%2A+sqrt%289+%2B144%29%29
A+=+632cm%5E2