SOLUTION: Find the gradient of the tangent where t = 3, given x=(2t-5)(t+1)^3

Algebra ->  Expressions -> SOLUTION: Find the gradient of the tangent where t = 3, given x=(2t-5)(t+1)^3      Log On


   



Question 1088613: Find the gradient of the tangent where t = 3, given x=(2t-5)(t+1)^3
Answer by Fombitz(32388) About Me  (Show Source):
You can put this solution on YOUR website!
The slope(gradient) of a curve is equal to the value of the derivative at that point.
So using the chain rule,
dx%2Fdt=%282t-5%293%28t%2B1%29%5E2%2B%28t%2B1%29%5E3%282%29
dx%2Fdt=%28t%2B1%29%5E2%283%282t-5%29%2B2%28t%2B1%29%29
dx%2Fdt=%28t%2B1%29%5E2%286t-15%2B2t%2B2%29
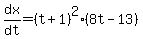
dx%2Fdt=%28t%2B1%29%5E2%288t-13%29
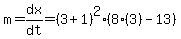
So then when t=3,
m=dx%2Fdt=%283%2B1%29%5E2%288%283%29-13%29
Work that out for your answer.