SOLUTION: If f(x)= 2x^3 - x, find [f(x+h)-f(x)]/h Please, i'm stuck.

Algebra ->  Expressions -> SOLUTION: If f(x)= 2x^3 - x, find [f(x+h)-f(x)]/h Please, i'm stuck.      Log On


   



Question 1087244: If f(x)= 2x^3 - x, find [f(x+h)-f(x)]/h
Please, i'm stuck.

Answer by jim_thompson5910(35256) About Me  (Show Source):
You can put this solution on YOUR website!
The first thing we need to do is find f%28x%2Bh%29. We do this by replacing every copy of x with x+h

f%28x%29=+2x%5E3+-+x

f%28x%29=+2%28x%29%5E3+-+%28x%29

f%28highlight%28x%29%29=+2%28highlight%28x%29%29%5E3+-+%28highlight%28x%29%29 Highlighting the x terms we will replace

f%28highlight%28x%2Bh%29%29=+2%28highlight%28x%2Bh%29%29%5E3+-+%28highlight%28x%2Bh%29%29 Replacing those terms with x+h

---------------------------------------

So we have

f%28x%2Bh%29=+2%28x%2Bh%29%5E3+-+%28x%2Bh%29

Let's expand that out and simplify

f%28x%2Bh%29=+2%28x%2Bh%29%2A%28x%2Bh%29%5E2+-+%28x%2Bh%29

f%28x%2Bh%29=+%28x%2Bh%29%282%2A%28x%2Bh%29%5E2+-+1%29

f%28x%2Bh%29=+%28x%2Bh%29%282%2A%28x%5E2%2B2xh%2Bh%5E2%29+-+1%29

f%28x%2Bh%29=+%28x%2Bh%29%282x%5E2%2B4xh%2B2h%5E2+-+1%29

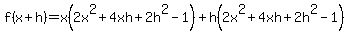
f%28x%2Bh%29=+x%282x%5E2%2B4xh%2B2h%5E2+-+1%29%2Bh%282x%5E2%2B4xh%2B2h%5E2+-+1%29

f%28x%2Bh%29=+2x%5E3%2B4x%5E2h%2B2h%5E2x+-+x%2B2x%5E2h%2B4xh%5E2%2B2h%5E3+-+h

f%28x%2Bh%29=+2x%5E3%2B4x%5E2h%2B2x%5E2h%2B2h%5E2x%2B4xh%5E2+-+x%2B2h%5E3+-+h

f%28x%2Bh%29=+2x%5E3%2B6x%5E2h%2B6xh%5E2+-+x%2B2h%5E3+-+h

---------------------------------------

Now we can compute the difference quotient





%28f%28x%2Bh%29-f%28x%29%29%2Fh+=+%286x%5E2h%2B6xh%5E2%2B2h%5E3+-+h%29%2Fh

%28f%28x%2Bh%29-f%28x%29%29%2Fh+=+%28h%286x%5E2%2B6xh%2B2h%5E2+-+1%29%29%2Fh





%28f%28x%2Bh%29-f%28x%29%29%2Fh+=+6x%5E2%2B6xh%2B2h%5E2+-+1

---------------------------------------
---------------------------------------

So the final answer is %28f%28x%2Bh%29-f%28x%29%29%2Fh+=+6x%5E2%2B6xh%2B2h%5E2+-+1

Side Note: After this step is reached, you can plug in h = 0 to find the derivative of f(x). This topic probably hasn't come up yet in your course, but it definitely will come up in calculus.