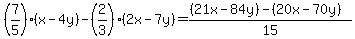
SOLUTION: {7(x-4y)/5} - {2(2x-7y)/3}= ?
Algebra
->
Expressions
-> SOLUTION: {7(x-4y)/5} - {2(2x-7y)/3}= ?
Log On
Algebra: Evaluation of expressions, parentheses
Section
Solvers
Solvers
Lessons
Lessons
Answers archive
Answers
Click here to see ALL problems on expressions
Question 1083794
:
{7(x-4y)/5} - {2(2x-7y)/3}= ?
Answer by
Fombitz(32388)
(
Show Source
):
You can
put this solution on YOUR website!