SOLUTION:
Simplify the expression and solve the equation.
((v^2+6v+8))/((v^2+v-12))/(v+2)/(2v-6)
I hope that I wrote this correctly.
Thank you.
Algebra ->
Expressions
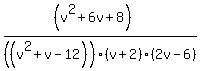
-> SOLUTION:
Simplify the expression and solve the equation.
((v^2+6v+8))/((v^2+v-12))/(v+2)/(2v-6)
I hope that I wrote this correctly.
Thank you.
Log On
You can put this solution on YOUR website!
--------
Factor the 2 trinomials, then cancel things.
=============
It's not an equation.
I can tell, there's no equal sign.
--> nothing to solve