SOLUTION: Simplify (x+1)/(x(x-1)) - (x-1)/(x(x+1) Thank you so much!

Algebra ->  Expressions -> SOLUTION: Simplify (x+1)/(x(x-1)) - (x-1)/(x(x+1) Thank you so much!      Log On


   



Question 1057514: Simplify (x+1)/(x(x-1)) - (x-1)/(x(x+1)
Thank you so much!

Found 2 solutions by josgarithmetic, MathTherapy:
Answer by josgarithmetic(39620) About Me  (Show Source):
You can put this solution on YOUR website!
You already learned the fraction skills necessary.

What is the common denominator, at its simplest?
system%28x%2C+x-1%2C+x%2B1%2CCommonDenominator=x%28x-1%29%28x%2B1%29%29

Raise each rational expression to "higher terms" as you would for any fraction addition or fraction subtraction! You already know how to do this.

Answer by MathTherapy(10552) About Me  (Show Source):
You can put this solution on YOUR website!

Simplify (x+1)/(x(x-1)) - (x-1)/(x(x+1)
Thank you so much!
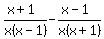
%28x+%2B+1%29%2Fx%28x+-+1%29+-+%28x+-+1%29%2Fx%28x+%2B+1%29
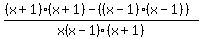
%28%28x+%2B+1%29%28x+%2B+1%29+-+%28%28x+-+1%29%28x+-+1%29%29%29%2Fx%28x+-+1%29%28x+%2B+1%29 ------ Multiplying by LCD, x(x - 1)(x + 1)
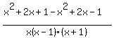
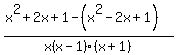
%28x%5E2+%2B+2x+%2B+1+-+%28x%5E2+-+2x+%2B+1%29%29%2Fx%28x+-+1%29%28x+%2B+1%29
%28x%5E2+%2B+2x+%2B+1+-+x%5E2+%2B+2x+-+1%29%2Fx%28x+-+1%29%28x+%2B+1%29 =====> 4x%2Fx%28x+-+1%29%28x+%2B+1%29 =====> 4cross%28x%29%2Fcross%28x%29%28x+-+1%29%28x+%2B+1%29 =====> highlight_green%284%2F%28x%5E2+-+1%29%29