SOLUTION: Solve (1-x)/(2+x) = (x-2)/(x+1) Thanks so much!

Algebra ->  Expressions -> SOLUTION: Solve (1-x)/(2+x) = (x-2)/(x+1) Thanks so much!      Log On


   



Question 1057512: Solve (1-x)/(2+x) = (x-2)/(x+1)
Thanks so much!

Found 2 solutions by ikleyn, josmiceli:
Answer by ikleyn(52834) About Me  (Show Source):
You can put this solution on YOUR website!
.
Solve (1-x)/(2+x) = (x-2)/(x+1)
Thanks so much!
~~~~~~~~~~~~~~~~~~~~~~~~~

Cross-multiply (or, in other words, multiply both sides by (2+x)*(x+1)) to rid of the denominators. You will get

(1-x)*(x+1) = (x-2)*(2+x).

Simplify:

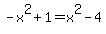
1 - x^2 = x^2 - 4,

1 + 4 = x^2 + x^2,

5 = 2x^2,

x^2 = 5%2F2  --->  x = +/- sqrt%285%2F2%29 = +/- sqrt%2810%29%2F2.

Answer.  x = +/- sqrt%2810%29%2F2.


Answer by josmiceli(19441) About Me  (Show Source):
You can put this solution on YOUR website!
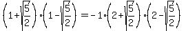
+%28+1+-+x+%29+%2F+%28+2+%2B+x+%29+=+%28+x+-+2+%29+%2F+%28+x+%2B+1+%29+
Multiply both sides by +%28+x+%2B+2+%29%2A%28+x+%2B+1+%29+
+%28+1+-+x+%29%2A%28+x+%2B+1+%29+=+%28+x+-+2+%29%2A%28+x+%2B+2+%29+
+x+-+x%5E2+%2B+1+-+x+=+x%5E2+-+2x+%2B+2x+-+4+
+-x%5E2+%2B+1+=+x%5E2+-+4+
+2x%5E2+=+5+
+x%5E2+=+5%2F2+
+x+=+sqrt%285%2F2+%29+
and
+x+=+-sqrt%285%2F2%29+
------------------------
check answers:
I'll check the negative square root:
+%28+1+-+x+%29+%2F+%28+2+%2B+x+%29+=+%28+x+-+2+%29+%2F+%28+x+%2B+1+%29+



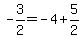
+1+-+5%2F2+=+-1%2A%28+4+-+5%2F2+%29+
+-3%2F2+=+-4+%2B+5%2F2+
+-3%2F2+=+-8%2F2+%2B+5%2F2+
+-3%2F2+=+-3%2F2+
OK