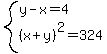
SOLUTION: two positive numbers differ by 4 and square of their sum is 324. Find the numbers.
Algebra
->
Expressions
-> SOLUTION: two positive numbers differ by 4 and square of their sum is 324. Find the numbers.
Log On
Algebra: Evaluation of expressions, parentheses
Section
Solvers
Solvers
Lessons
Lessons
Answers archive
Answers
Click here to see ALL problems on expressions
Question 1045380
:
two positive numbers differ by 4 and square of their sum is 324. Find the numbers.
Answer by
josgarithmetic(39618)
(
Show Source
):
You can
put this solution on YOUR website!